티스토리 뷰
Paper/Vocoder
[Paper 리뷰] RFWave: Multi-Band Rectified Flow for Audio Waveform Reconstruction
feVeRin 2025. 3. 9. 12:24반응형
RFWave: Multi-Band Rectified Flow for Audio Waveform Reconstruction
- Diffusion model은 waveform reconstruction에 효과적이지만 상당한 sampling step이 필요하므로 latency 문제가 존재함
- RFWave
- Complex spectrogram을 생성하고 frame-level에서 모든 subband를 simultaneously process 함
- Straight transport trajectory를 위해 Rectified Flow를 도입
- 논문 (ICLR 2025) : Paper Link
1. Introduction
- Audio waveform reconstruction은 raw audio data에서 derive 된 low-dimensional feature를 perceptible sound로 변환하는 것을 목표로 함
- LPCNet과 같은 autoregressive method는 sample point의 sequential prediction으로 인해 generation speed가 느림
- MelGAN, Parallel WaveGAN, HiFi-GAN, Vocos와 같은 Generative Adversarial Network (GAN)은 sample point를 parallel predict 하여 더 빠른 generation이 가능함
- BUT, GAN-based waveform reconstruction model은 discriminator 설계의 어려움과 mode-collapse 문제가 존재함 - 그 외에도 WaveGrad, DiffWave, PriorGrad, FreGrad, FastDiff, SpecGrad 등과 같은 diffusion model 역시 stable training과 high-quality waveform reconstruction이 가능함
- BUT, diffusion model은 GAN에 비해 generation speed가 느림:
- High-quality sample을 얻기 위해 상당한 sampling step이 필요하기 때문
- Waveform sample point level에서 동작하기 때문
- Frame-rate resolution에서 sample-rate resolution으로 transition 하기 위해 multiple upsampling이 필요하므로 sequence length가 늘어나 GPU memory와 computational demand가 증가함
-> 그래서 GAN-based method 수준의 generation speed를 달성할 수 있는 diffusion-type waveform reconstruction model인 RFWave를 제안
- RFWave
- Slow sampling 문제를 해결하기 위해 straight line으로 data와 noise를 connect 하는 Rectified Flow를 도입
- Sample point-level modeling의 computational demand 문제를 해결하기 위해 STFT frame-level을 활용
- 추가적으로 Energy-balanced loss, Overlap loss, STFT loss의 3가지 ehanced loss function과 optimized sampling strategy를 결합
< Overall of RFWave >
- ConvNeXt-V2 backbone에 기반한 multi-band strategy와 Rectified Flow, enhanced loss를 결합하여 sampling step을 줄임
- 결과적으로 기존보다 diffusion-based model 보다 뛰어난 성능을 달성
2. Background - Rectified Flow
- Rectified Flow는 generative modeling, domain transfer를 위한 Ordinary Differential Equation (ODE)-based framework를 제시함
- Empirical observation을 기반으로 $\mathbb{R}^{d}$에서 두 distribution $\pi_{0}, \pi_{1}$을 connect 하는 mapping을 고려하자:
(Eq. 1) $\frac{\text{d}Z_{t}}{\text{d}t}=v(Z_{t},t),\,\,\,\text{initialized from}\,\, Z_{0}\sim\pi_{0},\,\, \text{such that}\,\,Z_{1}\sim\pi_{1}$
- $v:\mathbb{R}^{d}\times[0,1]\rightarrow\mathbb{R}^{d}$ : velocity field - 해당 field를 학습하기 위해서는 Mean Square objective를 minimize 해야 함:
(Eq. 2) $\min_{v}\mathbb{E}_{(X_{0},X_{1})\sim\gamma}\left[\int_{0}^{1}\left|\left| \frac{\text{d}}{\text{d}t}X_{t}-v(X_{t},t)\right|\right|^{2}\text{d}t\right],\,\,\,\text{with}\,\,X_{t}=\phi(X_{0},X_{1},t)$
- $X_{t}=\phi(X_{0},X_{1},t)$ : $X_{0},X_{1}$ 간의 time-differentiable interpolation, $\frac{\text{d}}{\text{d}t}X_{t}=\partial_{t}\phi(X_{0},X_{1},t)$
- $\gamma$ : $(\pi_{0},\pi_{1})$의 any coupling (e.g., $\pi_{0},\pi_{1}$의 separately observed data를 기반으로 empirical sampling을 allow 하는 independent coupling $\gamma=\pi_{0}\times \pi_{1}$) - 여기서 다음과 같은 simple choice를 활용할 수 있음:
(Eq. 3) $X_{t}=(1-t)X_{0}+tX_{1}\Rightarrow \frac{\text{d}}{\text{d}t}X_{t}=X_{1}-X_{0}$
- 해당 simplification은 inference speed를 accelerating 하는 linear trajectory를 제공함 - 일반적으로 velocity field $v$는 deep neural network로 represent 되고 (Eq. 2)의 solution은 stochastic gradient method를 통해 approximate 됨
- (Eq. 1)의 ODE를 approximate 하기 위해서는 forward Euler method와 같은 numerical solver가 사용됨
- 즉, 아래 (Eq. 4)를 통해 value를 계산함:
(Eq. 4) $Z_{t+\frac{1}{n}}=Z_{t}+\frac{1}{n}v(Z_{t},t),\,\,\,\forall t\in\{0,...,n-1\}/n$
- 여기서 simulation은 $n$ step에 걸쳐 $\epsilon=1/n$ step interval로 execute 됨 - Velocity field는 conditional information을 incorporate 할 수 있는 capacity를 가지고 있으므로, compressed acoustic representation으로부터 waveform reconstruction을 수행할 수 있음
- 따라서 $\mathcal{C}$를 $X_{1}$에 대한 conditional information이라고 할 때, (Eq. 2)의 $v(Z_{t},t)$는 $v(Z_{t},t|\mathcal{C})$와 같이 modify 됨
- Empirical observation을 기반으로 $\mathbb{R}^{d}$에서 두 distribution $\pi_{0}, \pi_{1}$을 connect 하는 mapping을 고려하자:
3. Method
- RFWave는 ConvNeXt-V2 backbone을 가지는 Multi-Band Rectified Flow를 활용하여 time/frequency domain 내에서 noisy sample에 대한 modeling을 지원하면서, neural network는 STFT frame level에서 동작하도록 함
- 이를 통해 RFWave는 10 sampling step 만으로도 high-quality waveform을 생성할 수 있음
- Multi-Band Rectified Flow
- Model Structure
- RFWave는 unique subband index로 distinguish 되는 모든 frequency band는 동일한 model을 share 함
- 이때 주어진 sample의 subband는 single batch로 group 되어 simultaneous training/inference를 지원함
- 이를 통해 inference latency를 줄이고 subband를 independently modeling 하여 error accumulation을 줄임
- Lower band에 higher band를 conditioning 하면 error accumulation으로 인해 추론 중에 lower band의 inaccuracy가 higher band에 adversely affect 할 수 있기 때문
- 구조적으로 논문은 noisy sample $X_{t}$를 velocity $v_{t}$에 mapping 함
- 각 subband의 경우 subband noisy sample $X_{t}^{i_{sb}}$가 ConvNeXt-V2 backbone에 전달되고,
- Time $t$, subband index $i_{sb}$, conditional input (mel-spectrogram 또는 EnCodec token) $\mathcal{C}$, optional EnCodec bandwidth index $i_{bw}$에 따라 velocity $v_{t}^{i_{sb}}$를 predict 함
- ConvNeXt-V2 backbone은 Fourier feature를 사용함
- 여기서 $X_{t}^{i_{sb}},t,\mathcal{C}$, Fourier feature는 channel dimension을 따라 concatenate 된 다음, linear layer를 통과하여 ConvNeXt-V2 block의 input을 구성함
- Sinusoidal $t$ embedding은 optional $i_{bw}$ embedding과 함께 각 ConvNeXt-V2 block input에 element-wise add 됨
- $i_{bw}$는 EnCodec token의 decoding 중에 사용되어 single model이 various bandwidth의 EnCodec token을 지원할 수 있도록 함
- 추가적으로 $i_{sb}$는 Vocos와 같이 learnable embedding을 활용하는 Adaptive Layer Normalization module을 통해 incorporate 됨
- RFWave는 2가지 modeling option을 제공함
- Gaussian noise를 time-domain에서 waveform에 directly mapping 하는 방법
- $X_{0},X_{1},X_{t},v_{t}$ 모두 time-domain에 위치 - Gaussian noise를 complex spectrogram에 mapping 한 다음, $X_{0},X_{1},X_{t},v_{t}$를 frequency-domain에 mapping 하는 방법
- 이때 $X_{t}^{i_{sb}}, v_{t}^{i_{sb}}$는 frequency-domain에서 consistently represent 되어 neural network가 frame-level에서 동작하도록 함
- Gaussian noise를 time-domain에서 waveform에 directly mapping 하는 방법
- 결과적으로 RFWave는 frame-level feature를 처리하므로 waveform sample point level에서 동작하는 PriorGrad와 같은 기존 diffusion vocoder에 비해 더 나은 memory efficiency를 달성할 수 있음
- 실제로 PriorGrad는 30GB GPU에서 44.1kHz의 6s audio clip을 사용하지만, RFWave는 동일한 memory resource로 117s clip을 처리할 수 있음
- RFWave는 unique subband index로 distinguish 되는 모든 frequency band는 동일한 model을 share 함

- Operating with $X_{t}$ in the Time Domain and Waveform Equalization
- RFWave는 frame-level에서 동작하도록 설계되었으므로, $X_{t},v_{t}$가 time-domain에 있을 때 STFT/iSTFT를 사용해야 함
- 여기서 $X_{1}$은 waveform이고 $X_{0}$는 identical shape의 noise, $X_{t},v_{t}$는 (Eq. 3)에서 derive 됨 - $T$를 sample point의 waveform length라고 하면, $X_{t},v_{t}$ dimension은 $[1,T]$를 따름
- 그러면 STFT operation 이후 full-band complex spectrogram을 equally dividing 한 다음, subband를 추출하여 $X_{t}^{i_{sb}}$를 얻음
- 각 subband $X_{t}^{i_{sb}}$는 backbone에서 independently process 되어 $v_{t}^{i_{sb}}$를 예측함
- 해당 prediction은 iSTFT operation 전에 merge back 됨 - 결과적으로 backbone에서 처리된 $X_{t}^{i_{sb}}$는 $[2d_{s},F]$의 dimension을 가짐
- $d_{s}$ : subband complex spectrum의 frequency bin 수, $F$ : frame 수
- 각 subband의 real/imaginary part는 $2d_{s}$-dimensional feature를 구성하기 위해 interleave 됨
- White Gaussian noise는 frequency band에서 uniform energy를 가지지만 waveform energy profile은 서로 다름
- 즉, diffusion model training에서도 band 간 energy equalization이 유용할 수 있음
- 따라서 time-domain model은 Pseudo-Quadrature Mirror Filter (PQMF) bank를 사용하여 input waveform을 subband로 decompose 함
- 이후 해당 subband를 equalize 한 다음, recombine 하여 equalized waveform을 얻음
- PQMF는 waveform equalization에서만 사용되고 complex spectrogram을 subband로 division 하는 것과는 관련이 없음 - Waveform equalization 시에는 mean-variance normalization이 사용되고, training 중에 계산된 각 waveform subband의 mean/variance에 대한 exponential moving average를 사용함
- 이는 same statistics를 활용하여 transformation을 effectively invert 할 수 있음을 보장함
- RFWave는 frame-level에서 동작하도록 설계되었으므로, $X_{t},v_{t}$가 time-domain에 있을 때 STFT/iSTFT를 사용해야 함

- Alternative Approach: Operating with $X_{t}$ in the Frequency Domain and STFT Normalization
- $X_{t}, v_{t}$가 frequency domain에 있는 경우, STFT/iSTFT는 불필요함
- i.e.) $X_{1}$이 waveform complex spectrogram이고, $X_{0}$가 identical shape의 noise인 경우 - $d$를 complex spectrogram의 frequency bin이라고 할 때, $X_{t}, v_{t}$의 dimension은 $[2d,F]$가 됨
- 그러면 full-band complex spectrogram을 equally partitioning 하여 $X^{i_{sb}}_{t}$를 추출하면 $[2d_{s},F]$ shape를 가지고, 이는 ConvNeXt-V2 backbone에서 처리됨
- Frequency-domain model에서 waveform은 equalization 없이 complex spectrogram으로 transform 됨
- Preprocessing에는 complex spectrogram의 dimension-wise mean-variance normalization이 사용됨
- 추론 시 time-domain에서 $X_{t},v_{t}$를 사용하려면 각 sampling step에서 STFT/iSTFT가 모두 필요함
- 반면 $X_{t},v_{t}$가 frequency-domain에 있는 경우, entire sampling process 이후에 single iSTFT만 필요함 - 결과적인 측면에서는 computational overhead에도 불구하고 time-domain configuration이 frequency-domain 보다 더 나은 성능을 달성하고, high-frequency detail을 preserving 하는데 더 유용한 것으로 나타남
- $X_{t}, v_{t}$가 frequency domain에 있는 경우, STFT/iSTFT는 불필요함

- Loss Function
- Energy-balanced Loss
- (Eq. 2)의 Mean Squared Error (MSE)로 인해 expected silent region에서 low-volume noise가 나타나는 경향이 있음
- MSE는 predicted value와 ground-truth 간의 absolute distrotion을 계산하기 때문
- 즉, silent region에서 small absolute error는 overall MSE loss에 minimally contribute 하므로 training 중에 model은 해당 error를 prioritize 하지 않음
- 결과적으로 model은 silent area에서 minor deviation을 suppress 하지 못하므로 perceptible noise가 발생함
- 반대로 high-amplitude region의 large error는 MSE loss에 큰 영향을 주므로 training 중에 model은 해당 area의 error를 reduce 하는데 집중하게 됨 - 따라서 RFWave는 Energy-balanced loss를 도입하여 해당 문제를 해결함
- 먼저 energy-balanced loss는 time-axis에 걸쳐 region의 volume/energy에 따라 error를 differently weight 함
- 즉, 각 frequency subband에 대해 ground-truth velocity의 feature dimension을 따라 standard deviation을 계산하여 $[1,F]$ size의 weighting coefficient를 구성함
- 해당 vector는 subband의 frame-level energy를 반영함 - 이후 ground-truth와 predicted velocity는 해당 vector로 divide 되어 사용되고, frequency-domain model의 경우 (Eq. 2)의 training objective는 다음과 같이 adjust 됨:
(Eq. 5) $\min_{v}\mathbb{E}_{X_{0}\sim\pi_{0},(X_{1},\mathcal{C})\sim D}\left[\int_{0}^{1}|| (X_{1}-X_{0})/\sigma-v(X_{t},t|\mathcal{C})/\sigma||^{2}\text{d}t\right],$
$\,\,\,\,\,\,\,\,\,\,\,\,\,\,\,\,\, \text{with}\,\, \sigma=\sqrt{\text{Var}_{1}(X_{1}-X_{0})}\,\,\text{and}\,\, X_{t}=tX_{1}+(1-t)X_{0}$
- $D$ : $X_{1},\mathcal{C}$가 pair 되는 dataset, $\text{Var}_{1}$ : feature dimension에 대한 variance
- Time-domain model의 경우, energy balancing operation은 ISTFT process에 precede 함
- 먼저 energy-balanced loss는 time-axis에 걸쳐 region의 volume/energy에 따라 error를 differently weight 함
- 해당 energy-balanced loss는 low-volume region에서 relative error를 minimize 하여 전반적인 성능을 향상함
- (Eq. 2)의 Mean Squared Error (MSE)로 인해 expected silent region에서 low-volume noise가 나타나는 경향이 있음

- Overlap Loss
- Multi-band structure에서 각 subband는 independently predict 되므로 subband 간에 potential inconsistency가 발생할 수 있음
- 따라서 해당 inconsistency를 완화하기 위해 RFWave는 Overlap loss를 도입함
- 이때 full-band complex spectrogram을 dividing 할 때 subband 간의 overlap을 maintain 하는 것을 포함함
- 논문에서는 8-dimensional overlap을 사용하고 training phase에서 overlapped prediction의 MSE를 minimize 함
- 추론 시에는 overlap을 remove 하고 모든 subband를 merge 하여 full-band complex spectrogram을 recreate 함
- 각 subband를 predict 할 때 model은 overlap section과 main section 간의 consistency를 maintain 함
- 이때 overlap은 subband 간의 consistency를 maintain 하는 anchor 역할을 수행함 - 한편 모든 subband를 parallel predict 하는 대신 lower band를 기반으로 higher band를 modeling 하면 subband 간의 consistency를 향상할 수 있음
- BUT, 추론 시 lower band가 incorrectly predict 되면 해당 lower band를 condition으로 하는 higher band도 inaccurate 해짐
- RFWave의 overlap loss는 training 중에 subband 간의 consistency를 maintain 하여 해당 문제를 해결함
- 즉, 추론 시 각 subband는 independently predict 되므로, 한 subband에서 발생하는 error가 다른 subband에 negatively affect 하지 않음
- STFT Loss
- Magnitude spectrogram derived loss는 HiFi-GAN, Vocos와 같은 GAN-based vocoder에서 주로 사용되지만, diffusion-based vocoder에서는 사용되지 않음
- Noise prediction diffusion model의 formalization과 compatible 되지 않기 때문 - 따라서 RFWave는 STFT loss를 채택함
- (Eq. 5)에 따라 model output은 velocity에 대한 approximation으로 볼 수 있음:
(Eq. 6) $v(X_{t},t|\mathcal{C})\approx\frac{\text{d}}{\text{d}t}X_{t}=X_{1}-X_{0}$ - 그러면 time $t$에서 $X_{1}$의 approximation은:
(Eq. 7) $\tilde{X}_{1}\approx X_{0}+v(X_{t},t|\mathcal{C})$
- (Eq. 5)에 따라 model output은 velocity에 대한 approximation으로 볼 수 있음:
- STFT loss는 approximation $\tilde{X}_{1}$에 적용될 수 있고, spectral convergence loss와 log-scale STFT-magnitude loss를 incorporating 할 수 있음
- 결과적으로 STFT loss는 background noise가 있는 경우, artifact를 effectively reduce 함
- Magnitude spectrogram derived loss는 HiFi-GAN, Vocos와 같은 GAN-based vocoder에서 주로 사용되지만, diffusion-based vocoder에서는 사용되지 않음
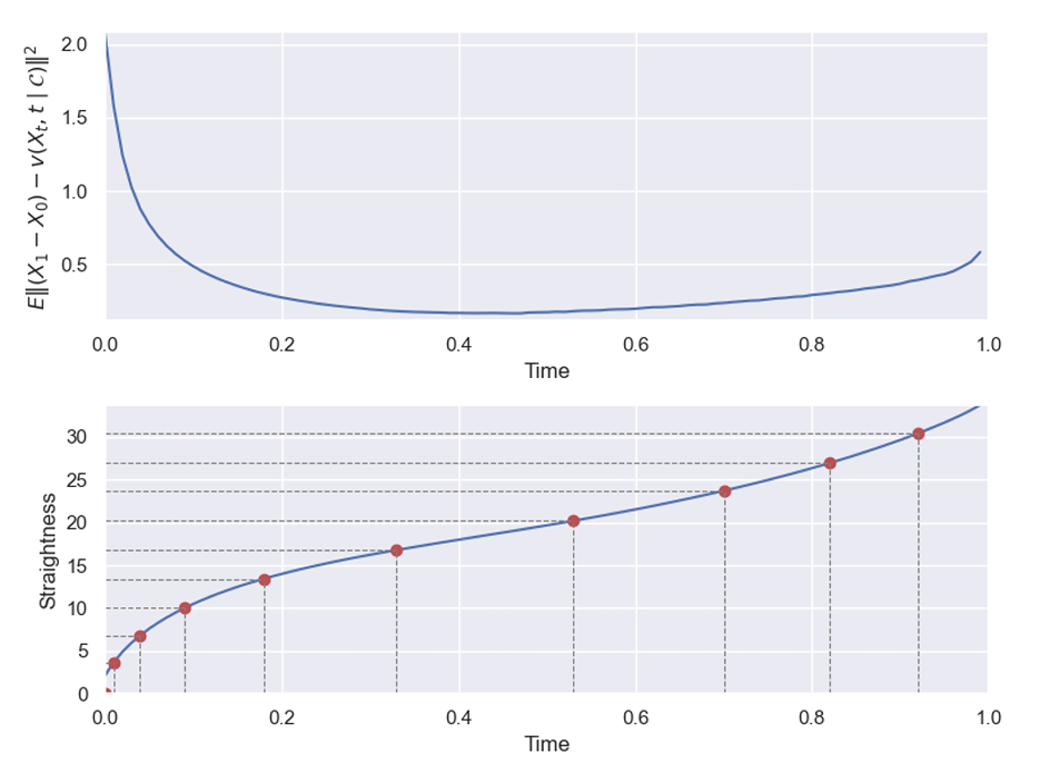
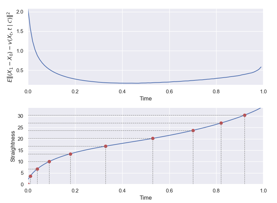
- Selecting Time Points for Euler Method
- 일반적으로는 (Eq. 4)와 같이 Euler method에 대해 equal step interval을 사용하지만, RFWave는 transport trajectory의 straightness를 기반으로 sampling을 위한 time point를 select 하는 Equal Straightness를 채택함
- 여기서 time point는 각 step에서 straightness의 증가가 동일하도록 choice 됨
- 그러면 learned velocity field $v$의 straightness는 $S(v)=\int_{0}^{1}\mathbb{E}||(X_{1}-X_{0})-v(X_{t},t|\mathcal{C})||^{2}\text{d}t$와 같이 정의됨
- 이는 trajectory에 대한 velocity의 deviation을 의미하므로, smaller $S(v)$는 straighter trajectory를 나타냄 - 해당 방식은 각 Euler step의 difficulty가 consistent 하도록 보장하여 model이 challenging region에서 더 많은 step을 수행하도록 함
- 결과적으로 동일한 sampling step에 대해 equal interval approach보다 더 나은 성능을 얻을 수 있음

4. Experiments
- Settings
- Results
- Comparison with Diffusion-based Method
- PriorGrad, FreGrad와 비교하여 RFWave는 가장 우수한 성능을 보임

- Comparison with GAN-based Method
- BigVGAN, Vocos와 비교하여도 RFWave의 성능이 더 뛰어남

- Out-of-Domain dataset인 MUSDB18에 대해서도 robust 한 성능을 보임

- Discrete EnCodec Tokens Input
- EnCodec token에 대해서도 RFWave의 reconstruction 성능이 가장 뛰어남

- Ablation Study
- Loss function 측면에서 제안된 각 loss가 추가될 때마다 성능이 개선됨

- Rectified Flow는 DDPM과 비교하여 high-quality audio를 더 efficient 하게 생성함
- 특히 ConvNeXt-V2 backbone은 audio quality와 efficiency를 모두 향상할 수 있음
- 이때 backbone size를 증가시키는 경우, quality는 더 향상되지만 efficiency는 저하됨

- Inference Speed
- RFWave는 BigVGAN보다 2배 이상 빠르고 더 적은 GPU memory를 사용함

반응형
'Paper > Vocoder' 카테고리의 다른 글
댓글
