티스토리 뷰
Paper/TTS
[Paper 리뷰] ProDiff: Progressive Fast Diffusion Model for High-Quality Text-to-Speech
feVeRin 2024. 5. 4. 12:14반응형
ProDiff: Progressive Fast Diffusion Model for High-Quality Text-to-Speech
- Diffusion model은 text-to-speech에서 우수한 성능을 보이고 있지만, iterative sampling process로 인해 accleration의 한계가 있음
- 특히 gradient-based model은 높은 품질을 보장하기 위해 수천번의 iteration이 필요함
- ProDiff
- 고품질의 text-to-speech를 위한 progressive fast diffusion model
- Sampling accleration 시 발생하는 품질 저하를 방지하기 위해 clean data를 직접 예측하여 desnoising model을 parameterization
- Diffusion iteration을 줄임으로써 발생하는 모델 수렴 문제를 해결하기 위해, knowledge distillation을 활용
- $N$-step DDIM teacher로부터 생성된 mel-spectrogram을 training target으로 사용하여 $N/2$-step의 new model로 distill 함
- 논문 (MM 2022) : Paper Link
1. Introduction
- Text-to-Speech (TTS)는 text로부터 해당하는 음성을 합성하는 것을 목표로 함
- 기존에는 autoregressive 하게 mel-spectrogram을 생성한 다음, 개별적인 vocoder로 mel-spectrogram을 음성으로 변환하는 방식을 사용함
- 한편으로 non-autoregressive 방식은 autoregressive 방식보다 빠른 합성이 가능하지만 sample quality나 diversity의 한계가 있음 - 즉, TTS 모델에는 다음의 어려움이 존재함:
- High-Quality : 합성된 음성의 naturalness를 향상하기 위해, 모델은 adjacent harmonics에 대한 frequency bin, unvoiced frame, high-frequency part 등의 detail을 capture 할 수 있어야 함
- Fast : 모델은 real-time 합성을 위해 빠른 생성 속도를 가져야 함
- Diverse : 긴 음성에 대해 dull, tedious 한 생성을 방지하기 위해, 모델은 mode collapse와 unimodal prediction을 회피할 수 있어야 함
- 한편으로 Denoising Diffusion Probabilistic Model (DDPM)과 같은 diffusion model은 생성 작업에서 우수한 성능으로 주목받고 있지만, 다음 2가지의 한계점이 있음:
- DDPM은 score matching objective를 사용하는 gradient-based model으로써, 높은 sample 품질을 보장하기 위해서는 수천번 이상의 denoising step이 필요함
- 즉, real-world 사용에 한계가 있음 - Refinement iteration을 줄이면 생성 속도를 높일 수 있지만, complex data distribution으로 인해 blurry/over-smooth mel-spectrogram이 만들어짐
- 즉, sampling step을 줄이면 perceivable background noise가 발생하고 합성 품질이 저하됨
- DDPM은 score matching objective를 사용하는 gradient-based model으로써, 높은 sample 품질을 보장하기 위해서는 수천번 이상의 denoising step이 필요함
- 이때 neural network를 통해 clean data를 직접 예측하여 denoising model을 parameterization 하는 generator-based method를 활용하면 diffusion model의 sampling을 accelerating 할 수 있음
- 기존에는 autoregressive 하게 mel-spectrogram을 생성한 다음, 개별적인 vocoder로 mel-spectrogram을 음성으로 변환하는 방식을 사용함
-> 그래서 고품질 TTS가 가능하면서 더 빠른 sampling이 가능한 progressive fast diffusion model인 ProDiff를 제안
- ProDiff
- Reverse iteration을 줄일 때 발생하는 perceptual quality의 저하를 방지하기 위해, score matching에 대한 gradient 추정 대신 clean data $x$를 직접 예측하는 방식을 사용함
- Diffusion iteration 감소로 인한 모델 수렴 문제를 해결하기 위해, knowledge distillation을 활용
- 구체적으로, denoising model은 $N$-step DDIM teacher로부터 생성된 mel-spectrogram을 training target으로 사용하고 $N/2$-step의 new model로 behavior를 distill 함
< Overall of ProDiff >
- TTS 작업에서 다양한 diffusion parameterization을 비교하여 score matching을 활용하는 기존의 gradient-based DDPM 보다 clean data를 직접 예측하는 것이 sampling acceleration에 효과적임을 보임
- Diffusion acceleration에서 발생하는 수렴 문제를 해결하기 위해 knowledge distillation을 적용
- 결과적으로 기존 모델들보다 빠른 합성이 가능하면서 고품질의 음성을 얻음
2. Background on Diffusion Models
- 먼저 diffusion/reverse proocess는 diffusion probabilistic model을 통해 제공되고, data distribution을 학습하는 denoising neural network $\theta$에 사용될 수 있음
- Pre-defined fixed noise schedule $\beta$와 diffusion step $t$를 사용하여 diffusion/reverse process에 해당하는 constant를 계산하면 다음과 같음:
(Eq. 1) $\alpha_{t}=\prod_{i=1}^{t}\sqrt{1-\beta_{i}},\,\,\, \sigma_{t}=\sqrt{1-\alpha_{t}^{2}}$ - Diffusion Process
- Data distribution을 $q(x_{0})$로 정의하면, diffusion process는 data $x_{0}$에서 latent variable $x_{T}$까지의 fixed Markov chain으로 정의됨:
(Eq. 2) $q(x_{1},...,x_{T}|x_{0})=\prod_{t=1}^{T}q(x_{t}|x_{t-1})$
- Small positive constant $\beta_{t}$에 대해, small Gaussian noise가 $q(x_{t}|x_{t-1})$의 function하에서 $x_{t}$에서 $x_{t-1}$의 distribution에 추가됨 - 전체 diffusion process는 fixed noise schedule $\beta_{1},...,\beta_{T}$에 따라 data $x_{0}$를 점진적으로 whitened latent $x_{T}$로 변환함:
(Eq. 3) $q(x_{t}|x_{t-1}) := \mathcal{N}(x_{t};\sqrt{1-\beta_{t}}x_{t-1},\beta_{t}I)$
- Data distribution을 $q(x_{0})$로 정의하면, diffusion process는 data $x_{0}$에서 latent variable $x_{T}$까지의 fixed Markov chain으로 정의됨:
- Reverse Process
- Reverse process는 shared $\theta$에 의해 parameterize 된 $x_{T}$에서 $x_{0}$까지의 Markov chain으로, Gaussian noise에서 sample을 recover 하는 것을 목표로 함:
(Eq. 4) $p_{\theta}(x_{0},...,x_{T-1}|x_{T})=\prod_{t=1}^{T}p_{\theta}(x_{t-1}|x_{t})$ - 이때 각 iteration은 diffusion process에서 추가된 Gaussian noise를 제거함:
(Eq. 5) $p_{\theta}(x_{t-1}|x_{t}):=\mathcal{N}(x_{t-1};\mu_{\theta}(x_{t},t),\sigma_{t}^{2}I)$
- Reverse process는 shared $\theta$에 의해 parameterize 된 $x_{T}$에서 $x_{0}$까지의 Markov chain으로, Gaussian noise에서 sample을 recover 하는 것을 목표로 함:
- 이러한 diffusion model은 다양한 data distribution을 학습할 수 있지만, reverse sampling 중에 target distribution을 reconstruct 하기 위해 수천번의 iterative step이 필요함
- 따라서 ProDiff는 reverse iteration을 줄이고 computational efficiency를 향상하기 위해 progressive fast conditional diffusion model을 구축하는 것을 목표로 함
- Pre-defined fixed noise schedule $\beta$와 diffusion step $t$를 사용하여 diffusion/reverse process에 해당하는 constant를 계산하면 다음과 같음:
3. Diffusion Model Parameterization
- Implied prediction이 가능한 방식으로 reverse denoising model $\theta$를 parameterization 하기 위해 다음의 2가지 방식을 고려
- Gradient-based Method : denoising model이 data log-density의 gradient를 학습하고 $\epsilon$ space에서 sample을 예측하는 방식
- Generator-based Method : denoising model이 clean data $x_{0}$를 직접 예측하고 sample reconstruction error를 최적화하는 방식
- Gradient-based Method
- Stein score function은 data $x$에 대한 data log-density $\log p(x)$의 gradient
- 여기서 Stein score function $s(\cdot) =\nabla_{x}\log p(x)$가 주어지면 Langevin dynamics를 통해 해당 density로부터 sample $\tilde{x}\sim p(x)$를 얻을 수 있고, 이는 data space에서의 stochastic gradient ascent로 볼 수 있음:
(Eq. 6) $\tilde{x}_{t+1}=\tilde{x}_{t}+\frac{\eta}{2}s(\tilde{x}_{t})+\sqrt{\eta}z_{t}$
- $\eta>0$ : step size, $z_{t}\sim\mathcal{N}(0,I)$ - Score matchin network는 Stein score function $s(\cdot)$을 학습하고, 추론을 위해 Langevin dynmaics를 사용하는 방식으로써, 이때 모든 step $t$에 대해 denoising score matching objective는:
(Eq. 7) $\mathbb{E}_{x\sim p(x)}\mathbb{E}_{\tilde{x}\sim q(\tilde{x}|x)}\left[ ||s_{\theta}(\tilde{x})-\nabla_{\tilde{x}}\log q(\tilde{x}|x)||_{2}^{2}\right]$
- $\nabla_{\tilde{x}}\log q(\tilde{x}|x)=-\frac{\epsilon}{\sigma_{t}}$ : Gaussian noise $\epsilon$에 비례 - 한편으로 Denoising Diffusion Probabilistic Model (DDPM)은 neural network를 사용하여 $\epsilon$을 직접 예측하고, denoising model $\theta$를 parameterize 함
- 특히 이러한 DDPM과 score matching neural network는 서로 밀접하게 연결되어 있고, 이를 Gradient-based method라고 함 - Gradient-based method에서 training objecitve는 $\epsilon$ space의 mean squared error로 정의되고, stochastic gradient descent를 사용해 $t$의 random term을 최적화하는 것으로 training 됨:
(Eq. 8) $\mathcal{L}_{\theta}^{Grad}=\left|\left| \epsilon_{\theta}\left(\alpha_{t}x_{0}+\sqrt{1-\alpha^{2}_{t}}\epsilon\right)-\epsilon\right|\right|_{2}^{2},\,\,\, \epsilon\sim\mathcal{N}(0,I)$
- 해당 gradient-based diffusion model에서 고품질을 보장하기 위해서 수천번 이상의 denoising step이 필요하므로 상당한 computational cost가 요구됨
- 여기서 Stein score function $s(\cdot) =\nabla_{x}\log p(x)$가 주어지면 Langevin dynamics를 통해 해당 density로부터 sample $\tilde{x}\sim p(x)$를 얻을 수 있고, 이는 data space에서의 stochastic gradient ascent로 볼 수 있음:
- Generator-based Method
- Generator-based method는 diffusion model을 clean data를 직접 예측하여 denoising model을 parameterization 하는 것으로 해석함
- $x_{t}$에는 다양한 level의 perturbation이 존재하므로, single gradient-based parameterization network를 사용하여 서로 다른 $t$에서 $x_{t-1}$을 직접 예측하는 것은 어려움
- Generator-based method는 data density에 대한 gradient를 추정하지 않는 대신, perturbed $x_{0}$를 예측한 다음 posterior distribution $q(x_{t-1}|x_{t},x_{0})$를 사용하여 perturbation을 추가하는 식으로 동작함
- 구체적으로 $p_{\theta}(x_{0}|x_{t})$는 주어진 $x_{t}$에서 $x_{0}$를 output 하는 neural network $f_{\theta}(x_{t},t)$에 의해 impose 된 implicit distribution이고,
- 이후 $x_{t-1}$은 주어진 $x_{t}$와 예측된 $x_{0}$에 의해 posterior distribution $q(x_{t-1}|x_{t},x_{0})$를 사용하여 sampling 됨
- 이때 training loss는 data $x$ space의 mean squared error로 정의되고, stochastic gradient descent를 통해 $t$의 random term을 최적화하여 training 됨:
(Eq. 9) $\mathcal{L}_{\theta}^{Gen}=\left|\left| x_{\theta}\left(\alpha_{t}x_{0}+\sqrt{1-\alpha^{2}_{t}}\epsilon\right)-x_{0}\right|\right|_{2}^{2},\,\,\, \epsilon\sim\mathcal{N}(0,I)$
- 최근에는 neural network $f_{\theta}$로 $x_{0}$를 직접 예측하여 denoising model을 parameterize 함- 이러한 generator-based method는 complex distribution에서 sampling을 accelerating 하는데 효과적임
4. ProDiff
- Motivation
- Diffusion model은 audio 합성에서 우수한 성능을 보이고 있음
- BUT, real-world deployment를 위해서는 몇 가지 어려움이 존재함:
- 기존의 diffusion TTS model은 일반적으로 score matching objective를 사용하여 data density에 대한 graident를 추정하는 방식으로 동작함
- 결과적으로 고품질의 합성을 위해서는 상당한 iteration이 필요 - 특히 refinement iteration을 줄이는 경우, diffusion model은 complex data distribution으로 인해 모델의 수렴성이 저하됨
- 따라서 기존의 denoising model은 deterministic value를 생성하지 못하므로 예측된 mel-spectrogram은 blurry 하고 over-smooth 해짐
- 기존의 diffusion TTS model은 일반적으로 score matching objective를 사용하여 data density에 대한 graident를 추정하는 방식으로 동작함
- ProDiff는 이를 해결하기 위해 2가지 technique을 활용함:
- Sampling 속도 향상을 위한 generator-based parameterization
- Knowledge distillation을 통한 target side의 data variance 감소
- 결론적으로, 이를 통해 ProDiff는 sampling step을 크게 줄이면서도 고품질의 합성이 가능
- BUT, real-world deployment를 위해서는 몇 가지 어려움이 존재함:
- Select a Teacher
- Teacher model은 fast, high-quality, diverse TTS 합성이 가능해야 하고, distilled student는 해당 capability를 inherit 해야 함
- Diffusion parameterization에 대한 앞선 분석을 기반으로, 논문은 4-step generator-based model이 품질과 속도 사이의 최적의 trade-off를 유지하는 것을 발견함
- 따라서 ProDiff의 teacher로써 4-diffusion step을 가지는 generator-based diffusion model $\theta$를 사용
- Distill from Teacher
- Denoising Diffusion Implicit Model (DDIM)은 Denoising Diffusion Probabilistic Model (DDPM)과 동일한 training procedure를 사용하면서 추론을 가속할 수 있는 non-Markovian process를 활용함
- 이때 sampler를 사용하여 diffusion process에서 variance가 reduce 된 coarse-grained mel-spectrogram을 직접 예측함
- 먼저 동일한 parameter와 model definition을 사용해 teacher model의 copy로 ProDiff를 initialize 함
- 그리고 training set에서 data를 sampling 하고 original에 noise를 추가함
- 한편으로 original data $x_{0}$ 대신 teacher를 사용하여 2번의 DDIM sampling step을 통해 denoising model에 대한 target value $\hat{x}_{0}$를 얻을 수 있음
- 추가적으로 teacher의 single DDIM step이 teacher의 2-DDIM step과 match 되도록 하여 required step을 절반으로 줄임
- 결과적으로 knowledge distillation을 통해 student model을 training 하는 것은 아래 [Algorithm 1]과 같이 동작함

- Architecture
- ProDiff의 architecture는 대표적인 non-autoregressive TTS 모델인 FastSpeech2를 활용함
- 아래 그림과 같이 ProDiff는 phoneme encoder, variance adaptor, spectrogram denoiser로 구성됨
- Phoneme encoder는 phoneme embedding sequence를 hidden sequence로 변환
- Variance adpator는 각 phoneme의 duration을 예측하여 hidden sequence length를 speech frame의 length로 regulate 하고 pitch/energy 등의 variance를 반영
- Spectrogram denoiser는 length-regulated hidden sequence를 mel-spectrogram으로 iteratively refine 함 - Encoder and Variance Adaptor
- Phoneme encoder는 transformer architecture를 기반으로 하는 feed-forward transformer (FFT) block으로 구성됨
- Encoder는 pre-net, multi-head self-attention을 포함하는 transformer block, final linear projection layer로 구성됨
- Variance adaptor에서 duration, pitch, energy predictor는 ReLU activation과 2-layer 1D convolution network를 기반으로 함
- 각 network에는 layer normalization, dropout layer, linear layer가 이어지고 hidden state를 output sequence로 project 함
- Spectrogram Denoiser
- DiffSinger를 따라 non-causal WaveNet architecture를 denoiser로 채택함
- Decoder는 256개 channel로 input hidden sequence를 project 하기 위해 residual connection이 있는 $1\times 1$ convolution layer와 $N$개의 convolution block으로 구성됨
- 이때 모든 step $t$에 대해 cosine schedule $\beta_{t}=\cos(0.5 \pi t)$를 사용
- 아래 그림과 같이 ProDiff는 phoneme encoder, variance adaptor, spectrogram denoiser로 구성됨

- Training Loss
- ProDiff를 최적화하기 위해 다음의 objective를 활용함
- Sample Reconstruction Loss
- Original clean data $x_{0}$를 사용하는 대신, teacher에서 2-DDIM sampling step을 수행하여 reduced variance의 target value $\hat{x}_{0}$를 얻음:
(Eq. 10) $\mathcal{L}_{\theta}=\left|\left| x_{\theta}\left(\alpha_{t}x_{0}+\sqrt{1-\alpha_{t}^{2}}\epsilon\right)-\hat{x}_{0}\right|\right|_{2}^{2},\,\,\,\epsilon\sim\mathcal{N}(0,I)$ - Structural Similarity Index (SSIM) Loss
- SSIM은 structural information과 texture를 capture 하여 image quality를 측정하는 perceptual metric
- SSIM은 $0~1$ 사이의 값을 가지고, 1의 경우 완벽한 perceptual quality를 의미
- ProDiff training에서 해당 SSIM loss는:
(Eq. 11) $\mathcal{L}_{SSIM}=1-\mathrm{SSIM}\left(x_{\theta}\left(\alpha_{t}x_{0}+\sqrt{1-\alpha_{t}^{2}}\epsilon\right),\hat{x}_{0}\right)$ - Variance Reconstruction Loss
- 음성의 naturalness와 expressiveness를 향상하기 위해 pitch, duration energy에 대한 acoustic variance information을 제공
- 추가적으로 acoustic generator를 training 하기 위해 variance reconstruction loss를 추가함:
(Eq. 12) $\mathcal{L}_{p}=||p-\hat{p}||^{2}_{2}, \,\, \mathcal{L}_{e}=||e-\hat{e}||_{2}^{2},\,\, \mathcal{L}_{dur}=||d-\hat{d}||_{2}^{2}$
- $d, e, p$ : 각각 target duration, energy, pitch, $\hat{d},\hat{e},\hat{p}$ : 각각 예측된 duration, energy, pitch
- Loss weight는 모두 0.1로 설정
- Sample Reconstruction Loss
- Training and Inference Procedures
- ProDiff의 training과 sampling은 각각 [Algorithm 1], [Algorithm 2]와 같음
- Training : ProDiff training에 대한 final loss는 다음과 같이 구성됨
- Sample reconstruction loss $\mathcal{L}_{\theta}$ : (Eq. 10)을 따르는 예측 mel-spectrogram과 ground-truth 간의 MSE
- Structural Similarity Index (SSIM) loss $\mathcal{L}_{SSIM}$ : (Eq. 11)에 따라 예측된 mel-spectrogram과 ground-truth 간의 SSIM index를 1에서 뺀 값
- Variance reconstruction loss $\mathcal{L}_{dur}, \mathcal{L}_{p},\mathcal{L}_{e}$ : (Eq. 12)에 따라 예측된 phoneme-level duration, pitch spectrogram, energy와 ground-truth 간의 MSE
- Inference : 추론 시 ProDiff는 unperturbed $x_{0}$를 iteratively predict 한 다음, posterior distribution을 통해 perturbation을 추가한 다음, high-fidelity의 mel-spectrogram을 생성함
- 먼저 denoising model $f_{\theta}(x_{t}|t,c)$는 $\hat{x}_{0}$를 예측하고,
- $x_{t-1}$과 예측된 $\hat{x}_{0}$가 주어지면 posterior distribution $q(x_{t-1}|x_{t},x_{0})$를 사용하여 sampling 됨
- 최종적으로 생성된 spectrogram $x_{0}$는 pre-trained vocoder를 통해 waveform으로 변환됨
- Training : ProDiff training에 대한 final loss는 다음과 같이 구성됨

5. Experiments
- Settings
- Dataset : LJSpeech
- Comparisons : Tacotron2, FastSpeech2, GANSpeech, Glow-TTS, Grad-TTS, DiffSinger
- Results
- Preliminary Analyses on Diffusion Parameterization
- Gradient-based/Generator-based diffusion parameterization을 비교해 보면
- Noise schedule의 large distribution에 대해 generator-based diffusion model은 고품질의 sample을 합성할 수 있음
- Iterative step을 줄이면 $(T\leq 16)$ gradient-based에서는 perceivable background noise로 인한 성능 저하가 발생함
- 대조적으로 generator-based model은 iteration 감소에도 sample 품질을 유지할 수 있음
- Generator-based model은 data density에 대한 gradient를 추정하지 않으므로 unperturbed $x_{0}$만 예측한 다음, posterior distribution $q(x_{t-1}|x_{t}, x_{0})$을 통해 perturbation을 반영하면 됨
- 즉, generator-based model은 complex distribution에서 sampling을 가속할 때, 품질 저하를 방지할 수 있음

- Performances
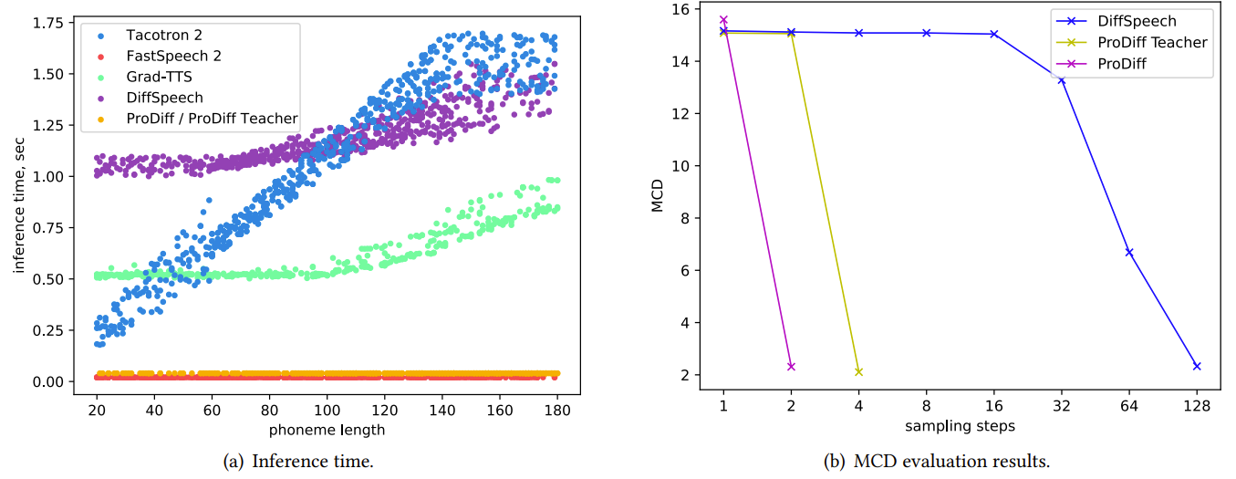
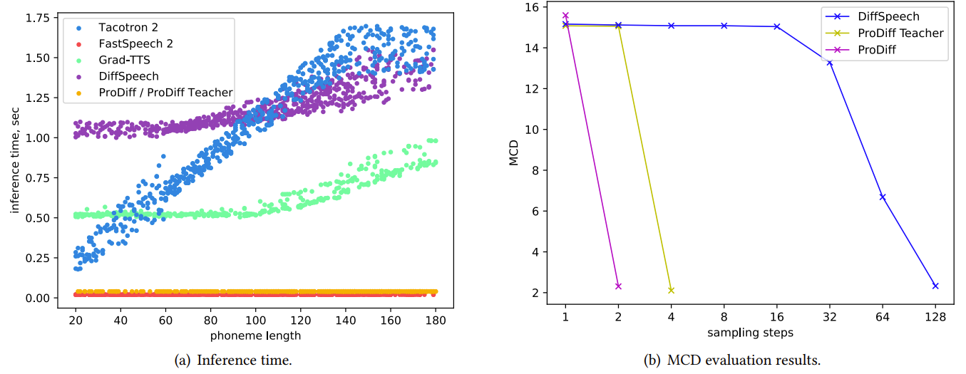
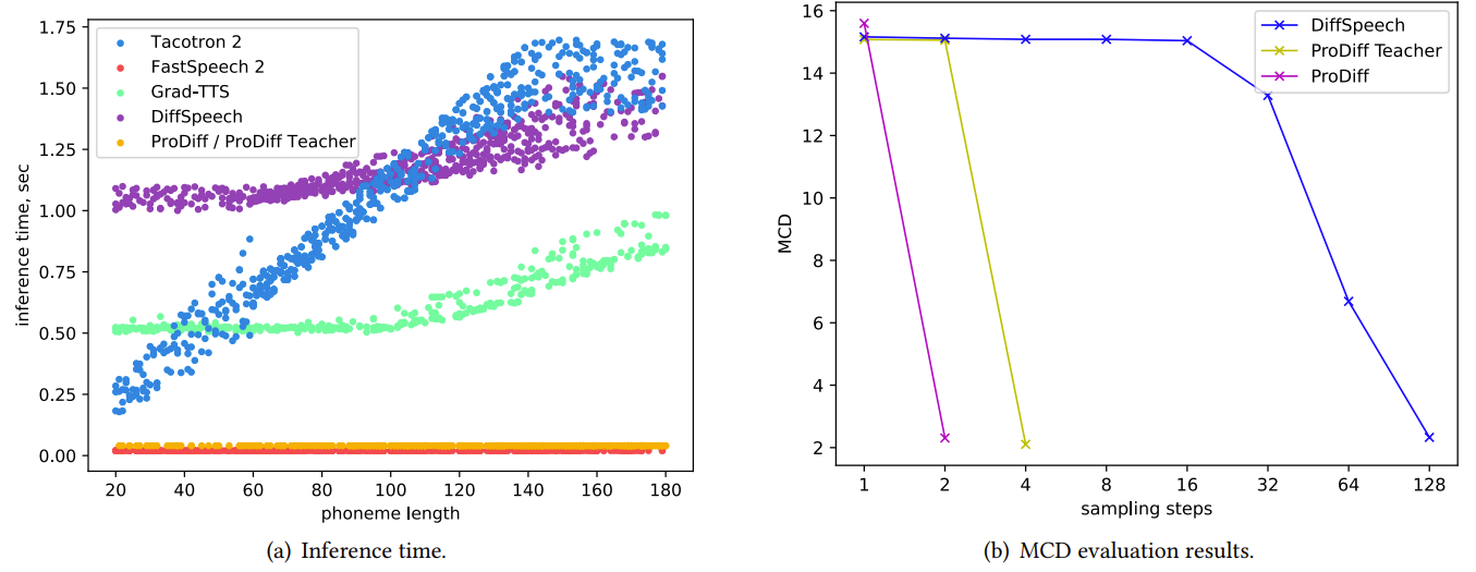
- ProDiff는 audio quality, sampling speed, diversity 측면에서 모두 우수한 성능을 보임

- Visualizations
- 합성된 mel-sepctrogram을 확인해 보면
- Tacotron2, FastSpeech2와 같은 non-probabilistic model은 blurry 하고 over-smooth mel-spectrogram을 생성함
- GAN-based model은 mode collapse 문제가 발생함
- Diffusion probabilistic model들은 rich frequency detail을 가지는 mel-spectrogram을 생성함
- 특히 ProDiff는 knowledge distillation을 통해 더 나은 성능을 달성할 수 있음

- Progressive Diffusion
- ProDiff teacher와 ProDiff는 unperturbed $x_{0}$를 예측한 다음, posterior distribution을 사용해 perturbation을 추가하는 방식을 사용함
- 이를 통해 더 적은 reverse iteration을 사용하면서 더 나은 결과를 얻을 수 있음

- Ablation Study
- 제한된 diffusion iteration에서 ProDiff의 generator-based parameterization을 gradient-based로 대체하면 성능 저하가 발생함
- Distillation을 제거하고 clean data를 training target으로 사용하는 경우 over-smooth 한 예측이 발생함
- 추가적으로 4-step teaccher로부터 distillation 하는 것이 computation cost와 quality 간 최적의 trade-off를 제공함

반응형
'Paper > TTS' 카테고리의 다른 글
댓글
