티스토리 뷰
Paper/TTS
[Paper 리뷰] Flowtron: An Autoregressive Flow-based Generative Network for Text-to-Speech Synthesis
feVeRin 2024. 12. 29. 11:33반응형
Flowtron: An Autoregressive Flow-based Generative Network for Text-to-Speech Synthesis
- Style transfer, speech variation을 향상하기 위해 autoregressive flow-based generative network를 활용할 수 있음
- Flowtron
- Training data의 likelihood를 maximizing 하여 optimize 되고 simple, stable training을 지원
- Timbre, expressivity, accent를 modulate할 수 있는 latent space에 대한 invertible mapping을 학습
- 논문 (ICLR 2021) : Paper Link
1. Introduction
- 최근의 Text-to-Speech (TTS)는 speech에 대한 충분한 control을 제공하지 못함
- Context에 따라 다른 emphasis나 emotion으로 speak할 수 있지만 particular reading을 label 하는 것은 어렵기 때문
- 특히 dataset의 unlabeled characteristic을 활용하기 위해 unsupervised learning으로 formulate할 수 있음
- Latent space에 representation이 있다고 가정하여 model이 해당 representation을 학습하는 방식
- 이후 해당 representation을 manipulate하여 generative model output을 control 가능
- 한편으로 최근의 expressive TTS는 text와 non-textual information의 learned latent embedding을 combine 하는 방식을 사용함
- BUT, 해당 방식은 embedding dimensionality에 대한 가정을 미리 결정해야 한다는 단점이 있음
- 따라서 기존의 embedding은 speech를 reconstruction하는데 필요한 모든 non-textual information을 포함하는 것이 보장되지 않음
- Model은 dummy, uninterpretable latent dimension과 capacity 문제를 가지게 됨 - 추가적으로 fixed length embedding으로 인해 time에 따른 speech characteristic을 manipulate 할 수 없음
- VAE, GAN 등은 manipulated latent embedding을 제공할 수 있지만 training이 어렵고 latent space에서 MLE를 수행하기 위해 implicit generative model이나 ELBO estimation에 의존함
-> 그래서 speech variation을 효과적으로 반영할 수 있는 autoregressive TTS model인 Flowtron을 제안
- Flowtron
- Mel-spectrogram에 대한 distribution을 spherical Gaussian으로 parameterize된 latent $\mathbf{z}$-space에 mapping 하는 invertible function을 학습
- Glow-TTS, Flow-TTS와 달리 autoregressive architecture를 기반으로 함 - Flowtron의 formulation을 통해 $\mathbf{z}$-space에 structure를 impose 하고 Gaussian mixture로 parameterize 가능
- Zero-mean spherical Gaussian prior를 가지는 sample을 생성하고 variance을 adjust 하여 variation을 control 함 - Tacotron에서 사용된 additional Prenet, Postnet layer를 제거하고 compound loss function에 대한 의존성 없이 data의 likelihood를 maximize 하여 높은 $\sigma^{2}$ value에서도 sharp mel-spectrogram을 생성 가능
- Mel-spectrogram에 대한 distribution을 spherical Gaussian으로 parameterize된 latent $\mathbf{z}$-space에 mapping 하는 invertible function을 학습
< Overall of Flowtron >
- Mel-spectrogram 합성을 위한 autoregressive flow-based generative network
- 결과적으로 기존보다 뛰어난 합성 품질을 달성
2. Method
- Flowtron은 mel-spectrogram frame sequence를 생성하는 autoregressive flow와 같음
- Normalizing flow는 known distribution $p(\mathbf{z})$에서 latent variable을 sampling 하고 invertible transfromation series를 적용하여 target distribution $p(\mathbf{x})$로부터 sample을 생성함
- 여기서 invertible transformation $\mathbf{f}$를 flow step이라고 함:
(Eq. 1) $\mathbf{x}=\mathbf{f}_{1}\circ\mathbf{f}_{2}\circ ...\mathbf{f}_{k}(\mathbf{z})$ - 각 transformation은 invertible 하므로 variable change를 사용하여 target distribution $p(\mathbf{x})$의 exact log-likelihood를 directly evaluate 할 수 있음:
(Eq. 2) $\log p_{\theta}(\mathbf{x})=\log p_{\theta}(\mathbf{z})+\sum_{i=1}^{k}\log |\det (\mathbf{J}(\mathbf{f}_{i}^{-1}(\mathbf{x})))|$
(Eq. 3) $\mathbf{z}=\mathbf{f}_{k}^{-1}\circ\mathbf{f}_{k-1}^{-1}\circ ... \mathbf{f}_{1}^{-1}(\mathbf{x})$
- $\mathbf{J}$ : inverse transform $\mathbf{f}_{i}^{-1}(\mathbf{x})$의 Jacobian - 여기서 latent distribution $p(\mathbf{z})$를 cleverly choosing 하는 경우 exact log-likelihood는 simple하고 tractable 해짐

- Latent Distributions
- Latent distribution $\mathbf{z}$에 대해 2가지 simple distribution을 고려할 수 있음
- Zero-mean spherical Gaussian, fixed/learnable parameter를 가지는 spherical Gaussian mixture:
(Eq. 4) $\mathbf{z}\sim\mathcal{N}(\mathbf{z};0,I)\,\,\, \text{or}\,\,\, \mathbf{z}\sim\sum_{k}\hat{\phi}_{k}\mathcal{N}(\mathbf{z};\hat{\mu}_{k},\hat{\Sigma}_{k})$ - Zero-mean spherical Gaussian은 simple log-likelihood를 가지고 spherical Gaussian mixture는 inherent cluster를 가짐
- Zero-mean spherical Gaussian, fixed/learnable parameter를 가지는 spherical Gaussian mixture:
- Invertible Transformations
- Normalizing flow는 coupling layer를 활용하여 구성되고, Flowtron은 autoregressive affine coupling layer를 채택함
- Latent variable $\mathbf{z}$는 resulting mel-spectrogram sample과 동일한 dimension, frame을 가짐
- Previous frame $\mathbf{z}_{1:t-1}$은 scale, bias term $\mathbf{s}_{t}, \mathbf{b}_{t}$를 생성하여 succeeding time step $\mathbf{z}_{t}$를 affine transform 함:
(Eq. 5) $(\log \mathbf{s}_{t},\mathbf{b}_{t})=\text{NN}(\mathbf{z}_{1:t-1},\text{text},\text{speaker})$
(Eq. 6) $\mathbf{f}(\mathbf{z}_{t})=(\mathbf{z}_{t}-\mathbf{b}_{t})\div \mathbf{s}_{t}$
(Eq. 7) $\mathbf{f}^{-1}(\mathbf{z}_{t})=\mathbf{s}_{t}\odot \mathbf{z}_{t}+\mathbf{b}_{t}$
- $\text{NN}()$ : autoregressive causal transformation으로써 affine coupling layer는 reversible transformation이지만 $\text{NN}()$은 invertible 할 필요가 없음 - 논문은 scaling, bias term을 얻기 위해 $0$-vector를 사용하고, 이는 affine transform $\mathbf{z}_{1}$를 의미
- 해당 $0$-vector constant는 first $\mathbf{z}$가 always known임을 보장함 - Affine coupling layer를 사용하면 $\mathbf{s}_{t}$ term만이 mapping volume을 변경하고 loss에 variable change를 add 할 수 있음
- 해당 term은 non-invertible affine mapping에 대해서도 penalize 할 수 있음:
(Eq. 8) $\log | \det (\mathbf{J}(\mathbf{f}_{coupling}^{-1}(\mathbf{x})))|=\log |\mathbf{s}|$ - Likelihood를 evaluate 하기 위해서는 mel-spectrogram을 text, optional speaker ID에 따라 condition 된 flow의 inverse step에 전달하고, log penalty를 adding 한 다음, Gaussian likelihood에 따라 evaluate 함
- 해당 term은 non-invertible affine mapping에 대해서도 penalize 할 수 있음:
- 해당 setup을 기반으로 mel-spectrogram frame의 ordering을 reversing 할 수 있음
- 따라서 논문은 flow의 even step에서 frame order를 reverse 하여 flow step을 input sequence에 대한 full pass로 정의함
- 이를 통해 Flowtron은 causal, invertiblity를 유지하면서 time에 따라 forward/backward로 depdendency를 학습할 수 있음
- Model Architecture
- Flowtron은 Tacotron의 Prenet, Postnet layer를 제거하여 구성됨
- 먼저 text encoder는 Tacotron2의 text encoder에서 batch-norm을 instance-norm으로 대체하여 사용함
- Content-based tanh attention을 도입하여 model을 location sensitive 하게 만듦
- Mel encoder는 Gaussian mixture의 parameter를 예측하는 역할을 수행하고 모든 token에 대해 encoder output과 channel-wise concatentate 된 speaker embedding을 사용함
- 추가적으로 speaker ID로 condition 되지 않은 model에 대해 single shared embedding을 사용함
- Latent variable $\mathbf{z}$에 대해 closest flow step은 추론 시 model에서 제공된 $\mathbf{z}$-value에서 extra frame을 prune하는 gating mechanism을 가지고 있음
- $\mathbf{z}$-value length는 flow의 next step에서는 fix 됨
- 먼저 text encoder는 Tacotron2의 text encoder에서 batch-norm을 instance-norm으로 대체하여 사용함

- Inference
- 추론은 trained model이 주어졌을 때 spherical Gaussian이나 Gaussian mixture에서 $\mathbf{z}$를 sampling 하고 (Eq. 1)과 같은 forward direction $\mathbf{f}$를 통과시키는 과정
- 여기서 Gaussian mixture의 parameter는 fix 되거나 Flowtron을 통해 predict 됨
- Training 중에 낮은 standard deviation에서 $\mathbf {z}$를 sampling 하면 더 나은 mel-spectrogram을 생성할 수 있음
- 결과적으로 논문은 $\sigma^{2}=1$로 training 하고 inference result는 $\sigma^{2}=0.5$를 사용함
- 여기서 Gaussian mixture의 parameter는 fix 되거나 Flowtron을 통해 predict 됨
- Posterior Inference
- 아래 그림과 같이 mel-spectrogram에 존재하는 speech characteristic은 $\mathbf{z}$-space region으로 cluster 되어 있음
- 따라서 latent distribution을 prior $q(\mathbf{z})=\mathbf{N}(0,I)$로 취급하고 evidence $\zeta_{1:m}$에 따라 condition 된 flow model $q(\mathbf{z}| \zeta_{1:m})$의 latent space에 대한 posterior를 얻을 수 있음
- 이는 $\zeta_{i}=\mathbf{f}^{-1}(\mathbf{x}_{i})$를 사용하여 latent space에 mapping 된 $m$개의 data observation $\mathbf{x}_{i}$에 해당 - Covariance matrix $\Sigma$가 있는 경우 Gaussian likelihood function을 사용하여 posterior를 $q(\mathbf{z}|\zeta_{1:m})=\mathcal{N}(\mu_{p},\Sigma_{p})$와 같이 analytically compute 할 수 있음
- 이때 $\bar{\zeta}$를 $\zeta_{i}$의 mean이라 하고, $\lambda$를 hyperparameter로 사용하여 posterior의 parameter를 다음과 같이 정의할 수 있음:
(Eq. 9) $\mu_{p}=\frac{\frac{m}{\lambda}\bar{\zeta}}{\frac{m}{\lambda}+1},\,\,\, \Sigma_{p}=\frac{1}{\frac{m}{\lambda}+1}I$
- 따라서 latent distribution을 prior $q(\mathbf{z})=\mathbf{N}(0,I)$로 취급하고 evidence $\zeta_{1:m}$에 따라 condition 된 flow model $q(\mathbf{z}| \zeta_{1:m})$의 latent space에 대한 posterior를 얻을 수 있음

3. Experiments
- Settings
- Dataset : LJSpeech, LibriTTS
- Comparisons : Tacotron2
- Results
- Flowtron은 Tacotron2보다 높은 MOS를 달성함

- Speech Variation
- Flowtron은 prior distribution $\mathbf{z}\sim\mathcal{N}(0,\sigma^{2})$에서 sampling을 수행하고 $\sigma^{2}$를 adjust 하여 variation을 adjust 할 수 있음
- $\sigma^{2}=0$은 variation을 completely remove 하고 model bias에 기반한 output을 생성함
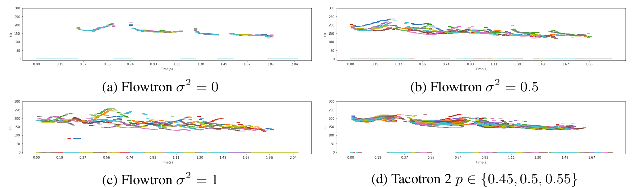
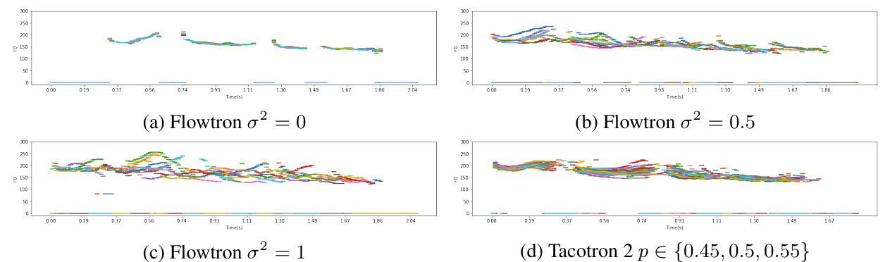
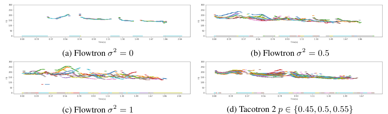
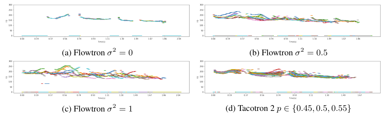
- $\sigma^{2}$이 커지는 경우 speech variation이 증가함 - $\sigma^{2}\in\{0.0,0.5,1.0\}$에 대한 spectrogram을 비교해 보면, Flowtron은 $\sigma^{2}$이 증가되었음에도 high quality speech를 생성할 수 있음
- 특히 sharp harmonics와 well-resolved formant를 생성함

- $F_{0}$ contour 측면에서도 Flowtron은 $\sigma^{2}=0$일 때 variation이 나타나지 않지만 $\sigma^{2}$가 증가할수록 $F_{0}$ variation이 나타남
- Prenet probability $p$ 역시 variation에 크게 영향을 미치지 않음

- Sampling the Posterior (Style Transfer)
- Seen speaker 측면에서 Flowtron은 posterior에서 sampling 하거나 posterior/Gaussian prior를 interpolate 함으로써 monotonic speaker를 expressive 하게 합성할 수 있음
- Unseen speaker 측면에서도 Flowtron은 surprised style을 효과적으로 반영할 수 있음

- Interpolation Between Styles
- (Eq. 9)의 parameter를 adjust 하여 baseline style (prior)와 target style (posterior)를 interpolate 하고 이를 통해 speaking style을 control 할 수 있음
- 결과적으로 $\lambda\in\{0.1, 0.666, 1.0, 2.0\}$으로 합성된 결과를 비교해 보면, $\lambda$가 감소할수록 spectral profile은 baseline style (prior)에서 target style (posterior)로 이동함

- Visualizing Assignments
- 각 utterance를 highest posterior probability $\arg \max_{k} p(\hat{\phi}_{k} |\mathbf{x})$를 가지는 component에 assign 하고, mel encoder를 통해 time에 따른 component assignment probability를 얻을 수 있음
- 결과적으로 Flowtron의 각 component에 있는 information은 gender dependent 하게 나타남

- Translating Dimensions
- Flowtron에 offset을 adding 하여 single mixture component의 dimension을 translating 할 수 있음
- 결과적으로 pitch height에 대한 dimension을 변환하여 얻어진 sample은 기존과 동일한 duration을 가지지만 다른 pitch contour를 나타냄
- 마찬가지로 word length에 대한 dimension을 변경하는 경우 pitch는 modulate 되지 않고 duation만 변화함

반응형
'Paper > TTS' 카테고리의 다른 글
댓글
